【导读公务员考试网为您提供2013 年上半年深圳《行测》真题及答案 以下为具体内容:
第一部分
常识判断
1.《深圳市行政机关专业技术类公务员管理办法(试行)》所称专业技术类公务员,是指在深圳市行政机关中从事专业技术工作,履行专业技术职责,为机关实施公共管理提供专业技术支持和技术手段保障的( )公务员。
A.聘任制
B.选任制
C.领导职务
D.非领导职务
2.党的十八大提出“扎实推进社会主义文化强国建设”,指出要推动学雷锋活动,学习宣传道德模范( )。
A.长效化
B.广泛化
C.具体化
D.常态化
3.2012年底,首都各界齐聚人民大会堂,隆重纪念《中华人民共和国宪法》公布施行30周年,习近平总书记强调指出,宪法与国家前途、人民命运息息相关。保证宪法实施,就是保证( )。
A.人民民主专政的实现。
B.依法治国的实现。
C.人民根本利益的实现。
D.社会主义政治文明的实现。
4.调查报告的结构一般包括( )
A.标题、导语、正文、结语
B.标题、正文、落款
C.开头、导语、主体、结尾
D.标题、正文、结语
5.2013年3月26-27日,金砖国家领导人第五次会晤在( )举行,这是金砖国家峰会首次在非洲举行。
A.尼日利亚
B.刚果
C.南非
D.坦桑尼亚
6.在现代市场经济中,( )是所有资源的一般代表形式。
A.生产要素
B.商品
C.货币
D.资本
7.公务员职务与级别的对应关系,由( )规定
A.国家人力资源与社会保障部
B.省级公务员主管部门
C.市级公务员主管部门
D.国务院
8.“满眼风光多闪烁,看山恰似走来迎;仔细看山山不动,是船行。”这一诗句包含的哲理是( )。
A.时空的无限性和有限性的统一
B.运动的绝对性和静止的相对性的统一
C.物质运动的无限性和时空的有限性的统一
D.物质运动的客观性和时空的主观性的统一
9.广东省委书记胡春华在省委十一届二次全会报告中用“十个广东”描绘了广东的目标,其中摆在第一位是( )
A.忧患广东
B.升级广东
C.和谐广东
D.清廉广东
10.政府把就业作为保障和改善民生的头等大事,实施积极的就业政策,加强重点人群就业工作,提高职业培训和就业培训服务水平。目前,( )成我国吸纳就业最多的产业。
A.制造业
B.服务业
C.节能环保产业
D.信息技术产业
11.实事求是的首要要求是( )。
A.理论联系实际
B.在实践中检验和发展真理
C.从群众中来,到群众中去
D.一切从实际出发
12.计划生育属于政府的( )
A.经济职能
B.政治职能
C.文化职能
D.社会职能
13.深圳中部和西北部主要为( )
A.低山
B.商品
C.平缓台地
D.丘陵
14.《深圳经济特区文明行为促进条例》是国内首部文明行为促进条例,条例创新设置了社会服务制度,规定违法行为人因不文明行为受到处罚的,可以申请参加有关部门安排的社会服务抵扣罚款,但最高不得超过( )。
A.50元
B.100元
C.所处罚款金额的三分之一
D.所处罚款金额的一半
15.“国五条”,是指国务院常务会议2013年2月20日确定的五项加强房地产市场调控的政策措施,以下关于“国五条”的内容,错误的是( )。
A.坚决抑制投机投资性购房
B.增加商品房和土地供应
C.加快保障性安居工程规划建设
D.完善稳定房价工作责任制
16.用人机关应当在市政府公务员主管部门同意聘任后( )日内,根据公开招聘或招聘计划与聘任制公务员按照平等自愿的原则,订立聘任合同,确定双方的权利和义务。
A.30
B.45
C.60
D.90
17.党的思想路线的理论基础是( )
A.联系的观点
B.马克思主义认识论
C.对立统一规律
D.唯物主义历史观
18.关于我国在过去五年来取得的成绩,说法不正确的是( )。
A.国内生产总值跃升到世界第二位
B.载人航空、探月工程、载人深潜、北斗卫星导航系统等实现重大突破,第一艘航母“辽宁舰”入列
C.非石化能源快速发展,水电风电装机位居世界第一。
D.进出口总额从世界第三为提升到第二位,其中进口额跃居世界第一位。
19.习近平总书记在视察广东的重要讲话中,对广东提出了殷切希望,下列不属于对广东“三个定位”要求的是( )
A.成为探索科学发展的实验区
B.成为建成小康社会的示范点
C.成为深化改革开放的先行地
D.成为发展中国特色社会主义的排头兵
20.行政行为以( )标准,可分为羁束行为和自由裁量行政行为。
A.受法律规范拘束的程度
B.管理对象是否特定
C.行政机关是否可以主动作出行政行为
D.适用与效力作用的对象范围
第二部分
言语理解与表达
21.将下列选项中的词语依次填入各句横线处,最恰当的一组是( )。①精神不集中,就容易出______。
②这座城市的许多道路还_____着解放前的街名。
A.差错 延用
B.差错 沿用
C.差池 沿用
D.差池 延用
22.将下列选项中的词语依次填入各句横线处,最恰当的一组是( )。①两国的________期满,将于今年的八月再次签订。②有问题可以________解决嘛,千万别伤了和气。③美伊双方达成________,
停战后美国将驻军伊拉克并帮其重建。
A.协约 协商 协议
B.协议 协议 协商
C.协议 协商 协约
D.协商 协议 协约
23.将下列选项中的词语依次填入各句横线处,最恰当的一组是( )。①在他小伫壕梁之上领悟了鱼的乐趣之后,________想养鱼致富,挖起鱼塘来了.②咱这河里的水,是从东海议价买来的。您是明白人,每吨当然________一元。③提货单________卖来卖去,水还躺在东海里,纹丝儿没动。
A.居然 不只 只管
B.居然 不止 尽管
C.竟然 不只 尽管
D.竟然 不止 只管
24.将下列选项中的词语依次填入各句横线处,最恰当的一组是( )。
C1驾驶证能开什么车http://www.jsyzj.com/chexing/c1.html驾驶员之家
①这项实验几经________后,终于圆满完成了。
②我终于申请到了留学美国的奖学金,梦想的船就要______。
③他________飞鸟的自由,向往着无拘无束的生活。
A.转折 启运 散羡
B.转折 启程 欲羡
C.周折 启运 欣羡
D.周折 启程 欣羡
25.依次填入下列各句横线上的词语,最恰当的一组是( )。①新县长上任后,大胆________了精明能干的张强,使濒于倒闭的制药厂起死回生。②一个有抱负的人,必将会成大器;一个懂得________的人,或许会雄霸一方;一个充满自信的人,往往能从容地面对各种困境。③长江流域,无疑也是中华民族文化的________之一。
A.启用 未雨绸缪 发源地
B.选拔 从长计议 发祥地
C.任用 顾全大局 发源地
D.起用 运筹帷幄 发祥地
26.依次填入下列各句横线上的词语,最恰当的一组是( )。①不说你无用,反来怨我,真是________,唯知饮食之徒。②我半生以来不作________,不取不义之财,有何罪过,要遭此报应呢?③她自恃年青漂亮,态度傲慢,________,目中无人,是一朵带刺的玫瑰。
A.饭囊衣架 非分之想 孤高自许
B.饭粮茹草 非池中物 孤芳自赏
C.饭囊衣架 非分之想 孤芳自赏
D.饭粮茹草 非池中物 孤高自许
27.依次填入下列各句横线处的词语,最恰当的一组是( )。
①文学的美,终其一生,将是我追求的________了。
②天空高临在我们的头上,没有一丝云层,浩渺的清空呈现着神秘无边的伟大________。③一个人,心里觉得愉快时喜欢唱一唱歌是自然的________。
A.理想 气象 表露
B.目标 气息 表露
C.目标 气象 流露
D.理想 气息 流露
28.依次填入下列各句横线处的词语,最恰当的一组是( )。
①所谓特权,历史地说,乃是少数得势的阶级单独地享有某些待遇,而多数无权阶层的人民则被________于外,不得分润。
②我们把平等的社会含义落实到权利平等与机会平等上,问题的讨论便________得多了。
③传统的民主自由制度究竟当如何改进自身以________更高的平等境界呢?
A.屏除 具体 通向
B.摒除 具体 迈向
C.屏除 详细 迈向
D.摒除 详细 通向
29.依次填入下列各句横线处的词语,最恰当的一组是( )。
①对现代政府治理来说,政府部门间的有效________是一个永恒的主题。
②我国经济的成功,离不开政府的积极________。
③今年两会的一个重要成果是________了我国新一轮的政府机构改革。
A.协调 引导 起动
B.协作 引导 启动
C.协调 领导 启动
D.协作 领导 起动
30.依次填入下列各句横线处的词语,最恰当的一组是( )。因为小说的范围至为广泛,作者挑选的________、写作的动机、________的选择、创作的方法以及内心的喜怒哀乐等等感情各有不同。
A.体裁 题材
B.体裁 素材
C.体例 素材
D.体例 题材
31.下列语句中,有语病的一句为( )。
A.剑桥大学材料科学教授林?汉弗莱认为,只要解决了芯片与大脑的接口问题,把刻在微型芯片上的微型记忆电路加入大脑中的设想就完全有可能变为现实。
B.病毒的生存能力既然这么弱,为什么还会那样猖獗呢?
C.旨在培养中小学生爱国热情的德育打卡制度,由于一些单位和个人的认识问题,出现“走过场”现象,的确让人叹息。
D.不久前,中国社科院等发布的《中国城市智慧低碳发展报告》,深圳因其经济、能源、设施、环境和社会等方面的成绩,在110座城市中位列前三。
32.下列语句中,有语病的一句为( )。
A.四周或高或低的果林花丛,多姿而又调匀地簇成这小园地的整体的和谐美。
B.喜欢文字的人和现实总有一种不可企及的距离,即使我深陷其中,依然有局外的感觉,但我不会和身边的人诉说。
C.旁人永远无法看见我最寂寞的时候,因为我只有在别人看不见的时候才会最寂寞。
D.外面还下着毛毛雨,地面上的积水浅一洼深一洼的,倒映出灰暗的天空,葱茏的树影,还有衣着光鲜的人群。
33.下列语句中,成语使用不当的一句是( )。
A.如今这里是经济开发区,高楼林立,机声隆隆,给人以面目一新的美好感觉。
B.我本来就对那里的情况不熟悉,你却硬要派我去,这不是差强人意吗?
C.掐丝工人心里有谱,不用在铜胎上打稿,就能自由自在地把铜丝粘成图案。
D.如果没有无数默默的枕木,力大无穷的火车头也只能站着叹气。
34.下列语句中,没有语病的一句为( )。
A.根据新的会议精神,文件对于商业流通领域出现的问题,从政策上和理论上作了深刻
C2驾驶证能开什么车http://www.jsyzj.com/chexing/c2.html驾驶员之家
的说明和详细的规定。
B.有没有远大的抱负和顽强的意志,是一个人取得成功的关键。
C.“推动科学发展,促进社会和谐”是党的十七大主题的重要内容,它向世界表达了中国人民对内致力于构建和谐社会,对外努力建设和平繁荣的美好世界。
D.倡议和领导世界上第一次测量子午线的是我国唐代天文学家僧一行。
35.下列语句中,没有语病的一句为( )。
A.石油和天然气价格的不断上涨,引起消费者信心指数连续下降,造成工业农业生产成本大幅提高,给世界经济复苏蒙上了一层阴影。
B.时间过得如此之慢,经过整整两个小时左右,这场百无聊赖的会议才结束。
C.这些生动的事例,反映的是政府进行行政审批改革前后部分事项办理情况的有效改善。
D.我虽然和他只有一面之缘,但从他那里学到了许多东西,包括他的学识和人品。
36.下列语句中,没有语病的一句为( )。
A.中国男子游泳史上第一枚奥运会金牌得主孙杨,对于青少年游泳爱好者是一点也不陌生。
B.希腊人当时如能团结,他们不仅可以保存而且可以推广希腊的文化,敌人虽强亦无可奈何,但团结这一点希腊人独不能做到。
C.工厂多个部门都参加了上周六举行的义务植树活动,其中包括管理部、营业部、生产部和生产线员工等。
D.不仅“绿色出行”可以节约能源,而且还能促进身心健康。
37.下列语句中,没有语病的一句为( )。
A.由于他1米90的身高,顺利获得了进入学校篮球队的资格。
B.6月29日,澳门国际机场专营股份有限公司联同体育发展局举行“舞动全城欢呼奥运”,以健身操的方式迎接北京奥运会到来。
C.当然,知识分子中也有进步分子,他们努力于和平运动,对新中国的和平劳动的人民,抱着很大的好感和敬意。
D.不管你在一次又一次的智力竞赛中名落孙山,但在某一方面,你也许可以发挥你独有的、奇迹般的创造力,使生活充满无尽的乐趣。
38.把下面几个句子组成语意连贯的一段文字,排序正确的一项是( )。
(1)我们吃了早餐后,便坐着船出发
(2)天平山,从苏州前去,是比较遥远的途程。
(3)河道两旁的田野,青绿地活趣欲跃。
(4)所走的水路是运河的故道。
(5)一路多枫树、短桥,对之令人感到一种清隽的散文诗的风味。
A.1-2-4-3-5
B.2-1-4-5-3
C.4-1-3-2-5
D.2-5-1-4-3
39.把下面几个句子组成语意连贯的一段文字,排序正确的一项是( )。
(1)人们,尤其是青年朋友,对于一切变的都有着无限的向往之情
(2)是不是过去的种种都该彻底革除呢?
(3)变与常的关系又到底如何呢?
(4)而对于一切现存的,也就是常的,则有着说不出的厌恶之感
(5)抑或社会应当一成不变呢?
(6)不可否认,这是一个变的时代:从社会到个人,从制度到思想,都在剧烈地变动着
A.6-1-4-2-5-3
B.1-4-6-3-2-5
C.1-4-6-2-5-3
D.6-2-5-3-1-4
40.把下面几个句子组成语意连贯的一段文字,排序正确的一项是( )。
(1)同样一本书每再看看,领悟的又是一番境界
(2)后来觉着不对,因为年龄不同了
(3)这竟成了我少年时代大半消磨时间的方法
(4)所以买书回来放在架上,想起来时再反复的去回看它们
(5)一本好书,以前是当故事看
A.1-4-3-5-2
B.1-4-5-2-3
C.5-2-4-1-3
D.5-2-1-4-3
41.我们的生活中,充满了大大小小的挫折和失败,很多人都会经历失业、离婚、失去心爱的人,或其他各种痛苦。常常我们最梦寐以求的东西,再也不存在了;常常我们最爱的人,再也不能回到我们身边。每当这些时刻来临我们都会体验到悲伤、痛苦、甚至绝望。通常,由这些明确现实事件引起的抑郁和悲伤,是正常的、短暂的,有的甚至有利于个体的成长。但是,有些人的抑郁症状并没有十分明确、合理的外部诱因;另外一些人,虽然在他们的生活中发生了一些负性生活事件,但是,他们的抑郁症状持续得很久,远远超过了一般人对这些事件的情绪反应,而且抑郁症状日趋恶化,严重地影响了工作、生活和学习。如果是这样,那么很可能,他们患了当今世界第一大心理疾病——抑郁症。抑郁症通常指的是情绪障碍,是一种以心境低落为主要特征的综合症。这种障碍可能从情绪的轻度不佳到严重的抑郁,它有别于正常的情绪低落。
下列对文章的理解正确的一项是( )。
A.经历挫败和失败等负性生活事件的时候,我们就会体验到抑郁
B.没有十分明确、合理的外部诱因陷入抑郁,而且持续时间很长,才可判断为抑郁症
C.抑郁症是一种以心境低落为主要特征的情绪障碍,和正常的情绪低落相比,没有区别
D.抑郁情绪是每个人都会有的,所以它是当今世界第一大心理疾病
42.为什么要提初等教育?正是多亏了这些学校,美国的早期技工才普遍能读会写,并精通算术,掌握一定的几何和三角知识,这种情况在新英格兰和大西洋中部各州尤为常见。目光敏锐的外国观察家认为美国人的适应能力和创造能力得益于这种教育。正如1853年访美的一个英国访问团成员所报道的那样,“由于有了学校彻底训练过的头脑,美国孩子迅速地成为技术熟练的工人。
”文章暗示早期美国技工的适应能力和创造能力( )。
A.从他们的数学知识中获益匪浅
B.显示了他们有严格的学校管理方式
C.产生于享有特权的家庭训练
D.基本上归因于发展
43.一批杰出的科学家认为,鱼是具有社会智商的动物,它们不应被称为动物王国中的笨蛋。研究组的科学家们说,鱼类不是简单地凭本能行事,它们很机灵,有控制能力,甚至很有教养。三位来自爱丁堡、圣?安德鲁斯和利兹大学的专家说,科学界在最近几年里对鱼的心理和心智能力的认识发生了巨大的变化。生物学家富勒姆?布朗、凯文?莱兰和延斯?克劳斯在《鱼类和渔业》杂志上发表文章说,目前鱼被认为是非常聪明的动物。他们说:“过去鱼类被看作单调乏味、脑袋只有豌豆大的笨蛋,只会受‘本能’驱使,仅有的一点儿行动灵活性也被它那臭名昭著的‘三秒钟记性’严重阻碍了。如今这种说法已经一去不返了(或者至少是过时了)。”现在,鱼被认为充满着社会智商,运用马基雅维利式的策略,诸如操纵、惩罚和顺从,表现出固有的文化传统,并通过合作来勘查敌情和捕捉食物。最近的研究表明鱼可以识别各自的鱼群伙伴,社会威望,甚至相关的人际关系。科学家们也观察到它们会使用工具,修筑结构复杂的窝,还表现出长期的记忆力。科学家们补充说:“尽管对于那些习惯于以脑容量来事先判断动物智商的人来说这看起来非常特别,但是在某些认知领域,鱼甚至可以和人类以外的灵长类动物相媲美。”他们说鱼是最古老的主要脊椎动物,他们有"足够多的时间"来进化出复杂多样并且有适应能力的行为模式,与其他脊椎动物相抗衡。科学家们说:“这些进化就是重新评价鱼类行为灵活性的有力依据,并且突出了有必要进一步了解鱼类刚被认可的行为和社交复杂性的进化过程。
下列说法中不符合原文意思的一项是( )。
A.过去鱼类被认为是动物王国中的笨蛋,只凭本能行事,只有“三秒钟记性”
B.现在鱼类被认为是充满社会智商的动物,有固有的文化传统,有教养
C.关于鱼类的行为和社交复杂性的进化过程还需要进一步了解
D.鱼虽然脑容量小智商很低,但这并未妨碍其进化出可与灵长类动物相媲美的认知能力
44.澳大利亚研究人员在实验鼠体内用干细胞成功培养出活动的心脏组织。这一突破性进展意味着也许在不久的未来,人们将无需担心在器官移植中出现排异问题。据澳大利亚媒体8日报道,澳大利亚墨尔本的一个研究小组在一只实验鼠体内植入一个有血管的特制空腔,然而把从其他实验鼠身上提取的干细胞加入这个空腔内。一段时间后,这些干细胞长成不同类型的组织,其中包括跳动的心脏组织。研究小组负责人莫里森教授说,这项成果将最终使得人们能用干细胞按需制造各种器官和组织,比如完整的心脏或修补心脏缺陷时所要用的“补丁”。如果器官和组织是用患者自己的干细胞制造的,移植后就不会出现排异反应。但他说:“我估计这项成果要进入实用还需10年。”目前,该小组已成功培养了乳房组织、肌肉、能产生胰岛素的胰腺组织等。研究人员计划在几年以后开始人体试验。
下列说法中不符合原文意思的一项是( )。
A.研究小组通过在一个有血管的特制空腔内加入干细胞来培养多种组织
B.在实验鼠体内用干细胞培养出活动的心脏组织的研究取得了成功
C.人的乳房组织、肌肉、能产生胰岛素的胰腺组织等的培养已获成功
D.如果采用患者自己的干细胞制造器官和组织,移植后就不会出现排异反应
45.重大科技创造中很少有能像大型水坝这样让人痴迷的。可能正是因为人类长期遭受旱涝灾害的摆布才使得让水听人的调遣如此令人痴迷。但让人着迷有时也就使人盲目。有几个巨型大坝项目就有弊大于利的危险。建造大坝的教训是:大的未必总是好的。建一座巨大的、功能强的水坝已成为那些努力显示自己的国家和人民的一个成就的标志。但对国家和民族并没有多大益处,埃及在阿拉伯世界的领导地位因阿斯旺大坝而得以巩固。土耳其在力图跻身第一世界的计划中也包括修建阿塔特克大坝。但大坝往往不如预期那样发挥功效。
第一段第三句话暗示了( )。
A.人们若对现实视而不见便会很高兴。
B.盲人可能比看得见的人更幸福。
C.过于兴奋的人往往忽视至关重要的东西。
D.迷恋使人们丧失判断。
46.美国宇航局计划在未来10年发射两个价值几十亿美元的航天器,以寻找太阳系外类地行星的存在,而欧空局(ESA)也计划发射一个类似的寻找行星的航天器。科技日报报道,据最新出版的《科学》杂志报道,目前,科学家们已在太阳系以外探测到120多颗行星,但在其中发现和研究类地星体,还需要技术上的重大突破。近几年,美国和欧洲的天文学家和工程师正竞相研发各自的相关技术。2020年前,欧空局和美宇航局计划分别发射“达尔文”号(Darwin)航天器和“类地行星发现器”(TPF)。欧空局(ESA)的研发力量集中在研制和发射自由飞行干涉仪上,这种干涉仪可汇集若干台太空望远镜收集到的光,并形成单一的红外图像。天文学家通过对系统捕获的来自某一方向的光的研究发现小行星的存在。美宇航局则追求多种选择方案,其中包括一组自由飞行干涉仪和单一航天器干涉仪,同时他们也在加紧研制光学日冕仪。在日冕仪的研制中,科学家设计一个特别平坦的透镜,可将恒星产生的光压减100亿倍,从而使天文学家能全神贯注于可能存在行星区域的光子。美宇航局喷气推进实验室已开始研制两台中等尺寸、4米×6米以及10米×12米的椭圆透镜。
下列说法中不符合原文意思的一项是( )。
A.目前在发现和研究类地星体方面,还没有技术上的重大突破。
B.光学日冕仪实际上是一种光学滤镜。
C.美国宇航局和欧空局在发现和研究类星体方面展开了激烈的竞争。
D.科学家已在太阳系以外探测到120多颗行星。
47.近日英国研究衰老的专家说,身心适度紧张有助于身体健康,可以延年益寿。在伦敦举行的第二届抗衰老大会上,英国长寿协会医疗主任马里奥斯?基里亚齐斯医生发表了一篇研究报告,他称紧张疗法是抗衰老的一种新途径。报告中说,适度的紧张,可以使人体增加有助于修补身体细胞的蛋白数量(包括脑蛋白),使之发挥最佳效应,有助于提高人的天然防疫力,以免遭受疾病的侵袭,可以预防老年痴呆症、关节炎和心脏病。基里亚齐斯曾经做过一个实验,经病人同意后他开了些中等强度的活动处方,例如在周末重新装饰客厅或迅速收拾行李及时赶到机场。在病人完成了这些紧张的任务之后,都表示感觉身体舒服,人也更年轻了。基里亚齐斯解释说,当人们从事一项紧张活动时,人的身体或脑中的细胞跟着也会紧张起来,随之开始损坏。接着,细胞本身的修补机制便被激活,制造用来修补损失的蛋白,并增加细胞数量消除对身体有害的化学物质。这个过程被称为“兴奋效应”。基里亚齐斯说:“从35岁左右起,随着身体的衰老这种自我修补机制便开始放慢。保持这个过程有效运作的最佳途径,就是不断地‘锻炼’它,这意味着你必须寻找紧张,以便使你的身体继续对紧张做出反应。”但是,必须是适度的紧张才对身体有益。适度的紧张都是短时间的,具有中等的刺激作用,能给人一种成功感。根据文意,
下列表述不正确的一项是( )。
A.身心适度紧张将有助于身体健康,保持活力,紧张疗法是抗衰老的一种新途径。
B.适度的紧张可使人体增加有助于修补身体细胞的蛋白数量,使之发挥最佳途径。
C.从35岁左右起,随着身体的衰老,必须寻找紧张刺激,紧张刺激越多越强越好。
D.“兴奋效应”是指当人们从事一项紧张活动时身体或脑中的细胞随之跟着紧张起来,并开始损坏,接着,细胞本身的修补机制便被激活,制造用来修补损失的蛋白,并增加细胞数量消除对身体有害的化学物质。
48.不久前,在美国丹佛市举行的国际癌专家会议上,医学家宣布:他们经过临床试验发现,普通的感冒病毒可以杀死癌细胞。有多名自愿接受试验的癌症患者在接受这项治疗后,身上的癌细胞都呈萎缩状。专家们指出,要运用基因工程的办法研究出能引起感冒的腺病毒有机体,让含有易变基因的癌细胞染上感冒。而这项新技术,估计每年可望挽救10万个癌症病人的生命。
上面文字传达的最重要的一条信息是( )。
A.目前,正在开展的用感冒病毒治疗癌症的试验取得可喜的成果
B.目前,癌细胞在感冒病毒作用下萎缩这一事实引起医学界重视
C.今后,将日益广泛地推广用感冒病毒治疗癌症这一新方法
D.今后,要攻克运用基因工程让癌细胞染上感冒的新技术
49.在一项有奖征答活动中,有一个题目是:在一艘小船上载有三人,第一位是医学专家,他可使人们免于因癌症疾病而死亡的厄运;第二位是核专家,他有能力防止全球性的核战争;第三位是粮食专家,他能使几千万人脱离饥荒。此刻小船即将沉没,必须丢出一个人以减轻载重,问该丢下谁?应答信如雪片飞来,结果,巨额奖金的得主是一个小男孩。他的答案是:最胖的下去。
对这段文字的理解正确的是( )。
A.这是办法总比问题多的实例
B.这是复杂问题简单化的典范
C.这是棘手事情快处理的选择
D.这是小顽童解决大难题的故事
50.要证明一个事物的可能,有两条途径,一条是指出他的确存在,即过去曾经存在,或者现在正在存在;另一条是途径是从逻辑上证明它的存在,即使它现在并不存在,过去不曾存在,但按理它应该存在,或者在将来的某一天总会存在。
这段文字表明( )。
A.要从两条途径证明一个事物的可能
B.一个事物的可能与否不确定
C.证明可能即证明存在
D.存在分为确实存在和逻辑存在
第三部分 数量关系
51.36,81,131,()
A.144
B.169
C.171
D.186
52.67,49,55,37,43,25,()
A.28
B.31
C.36
D.40
53.


54.

55.11,11,13,21,47,()
A.125
B.126
C.127
D.128
56.一小偷藏匿于某商场,三名保安甲、乙、丙分头行动搜查商场的100家商铺。已知甲检查过80家,乙检查过70家,丙检查过60家,则三人都检查过的商铺至少有()家。
A.5
B.10
C.20
D.30
57.小王的旅行箱密码为3位数,且三个数字全是非0的偶数,而且这个三位数恰好是小王今年年龄的平方数。则小王今年()岁。
A.17
B.20
C.22
D.34
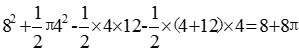
58.如下图所示,在一个边长为8米的正方形与一个直径为8米的半圆形组成的花坛中,阴影部分栽种了新引讲的郁金香,则郁金香的栽种面积为()平方米。
A.4+4π
B.4+8π
C.8+8π
D.16+8π

59.参加奥运开幕式表演的某方阵正在彩排,如果减少一行和一列,人数减少319人。则该方阵原来最外围的四边共有()人。
A.636
B.638
C.640
D.644
60.如下图所示,正方形ABCD的边长是14厘米,其中,BE=CE=7厘米。如果点P以每秒2厘米的速度沿着边线CD从点C出发到点D,那么三角形AEP的面积将以每秒()平方厘米的速度增加。
A.7
B.8
C.9
D.10
61.一块合金净重200克,用线吊住全部浸没在水里称重为180克。已知合金包含甲、乙两种金属,由于浮力的作用甲金属在水里减轻
的重量,乙金属在水中减轻
的重量。则此块合金中包含的甲乙金属重量相差()克。
A.10
B.20
C.30
D.40
62.五个各不相等的自然数分别两两相加,10种相加组合共得到8个不同的结果,分别是17、22、25、28、33、36与39,则五个数中最大的数与最小的数之和为()。
A.25
B.28
C.31
D.33

63.李明倡导低碳出行,每天骑自行车上下班,如果他每小时的车速比原来快3千米,他上班的在途时间只需原来时间的
;如果他每小时的车速比原来慢3千米,那么他上班的在途时间就比原来的时间多()。
A.
B.
C.
D.
64.将512个体积为1立方厘米的小立方体,合成一个边长为8厘米的大立方体,并在大立方体的六面分别刷上不同的颇色,再分开为原来的小立方体,则被刷上两种不同颜色的小立方体的数目是()个。
A.72
B.80
C.88
D.96
65.化学实验中,需要使用现有不同浓度的A、B两种氯化钠溶液配置新的浓度为15%的氯化钠溶液。已知A溶液的浓度是B溶液的5倍,且若将50克A溶液与250克B溶液混合即能完成配置,那么A溶液的浓度是()。
A.45%
B.40%
C.35%
D.30%
第三部分 图形推理
66.问题图形具有一定的规律,也存在某种差异。要求你从四个选项中选择你认为最适合取代问号的一个。
67.问题图形具有一定的规律,也存在某种差异。要求你从四个选项中选择你认为最适合取代问号的一个。
68.问题图形具有一定的规律,也存在某种差异。要求你从四个选项中选择你认为最适合取代问号的一个。
69.问题图形具有一定的规律,也存在某种差异。要求你从四个选项中选择你认为最适合取代问号的一个。
70.问题图形具有一定的规律,也存在某种差异。要求你从四个选项中选择你认为最适合取代问号的一个。
71扬长避短(2)充分利用有利地理条件(3)因地制宜地发展经济(4)对不利地理条件进行合理改造(5)区域要实现可持续发展
A.5—2—4—1—3
B.5—1—2—4—3
C.2—4—1—5—3
D.4—2—1—5—3
72.攻克技术理论难题(2)新型家电产品面市(3)带动家电消费新趋势(4)应用到系列家电产品上(5)研究国际行业发展趋势
A.2—1—4—5—3
B.2—5—1—3—4
C.5—1—4—2—3
D.5—4—1—3—2
73.河水化学需氧量浓度超标(2)整改排污点(3)引起环保部门高度重视(4)化工厂排放污水(5)鱼虾大面积死亡
A.4—5—3—2—1
B.4—1—5—3—2
C.1—3—2—4—5
D.1—3—4—5—2
74.但愿人长久,千里共婵娟(2)落霞与孤鹜齐飞(3)莫等闲,白了少年头,空悲切(4)人生得意须尽欢(5)夕阳西下,断肠人在天涯
A.2—4—1—3—5
B.2—4—3—1—5
C.4—2—1—5—3
D.4—2—3—1—5
75.均田制(2)班超出使西域(3)巨鹿之战(4)蔡伦改进造纸术(5)两税法实行
A.2—3—4—5—1
B.2—4—3—1—5
C.3—2—1—4—5
D.3—2—4—1—5
76.意大利生物学家特里布奇知道了动物在地震前的种种异常行为之后,尤其是当他听到钟表匠楚德尔告诉他,震前无法把拆开的钟表重新组装起来后,对动物预报地震产生了强烈的兴趣。特里布奇想,被拆开的钟表零件互相排斥,不能组装在一起,说明它们带有同样的电荷。这些电荷来自空气,在木制的工作台上又不能导电,所以,这些带电荷的零件难以组装起来。特里布奇最后证明动物预报地震确实是由于空气中的电荷。以上陈述如果为真,则必须有下列哪项作为科学依据:
A.地震是一种灵异的现象,动物的特异功能使它们能对此预测。
B.地震发生前,空气中产生了一种带电的气溶胶微粒,能使动物体内产生一种特殊激素,而对中枢神经起作用,因而使动物产生反常行为。
C.动物的导电性比人体高。
D.人体是导电体。
77.代位继承是指被继承人的子女先于被继承人死亡时,由被继承人的死亡子女的晚辈直系血亲继承该死亡子女应继承的遗产份额的制度。根据定义,下列属于代位继承的是:
A.老王膝下无子,老王立遗嘱,财产由他弟弟的儿子继承。
B.张文夫妇因海难失踪,其子继承了他们的财产。
C.李华只有一子,远居国外,李华死前未立遗嘱,李华的外甥欲继承李华的财产.
D.吕先生一家不幸在旅游途中遭遇意外事件身亡,只7岁的孙子因为留在外婆家,而幸免于难.另外吕先生唯一的儿子前年因病去世,7岁的孙子因此继承吕先生的遗产。
78.有些人认为举办世界杯足球赛耗资巨大,然而世界杯足球赛的门票并不是非常昂贵,是世界杯足球赛主办方的广告收入降低了票价。因此,世界杯足球赛的现场观众从世界杯足球赛主办方拉的广告中获得了经济利益。但有些人认为最终是消费者为厂家支付了世界杯足球赛的广告费用,其中也包括世界杯现场的观众,厂家通过提高商品的价格把广告费用摊到了消费者的身上。如果后一种说法是错误的,那么最有力地支持前者的一项是:
A.世界杯足球赛的票价一般要远高于普通体育比赛的票价。
B.利用世界性体育比赛做广告的厂家越来越多,广告费用也越来越高。
C.各厂家的广告支出总体上是一个常量,只是在广告形式上有所选择。
D.世界杯足球赛的举办带有越来越多的商业色彩,引起了普遍的不满。
79.B、C、D四个女生住在同一个宿舍,她们当中有一个人在洗水果,一个人在画画,一个人在上网,一个人在复习功课。其中:(1)A不在洗水果,也不在复习功课;(2)B不在上网,也不在洗水果;(3)如果A不在上网,那么D不在洗水果;(4)C不在复习功课,也不在洗水果;(5)D不在复习功课,也不在上网。下列说法正确的是:
A.B在复习功课,C在画画。
B.C在洗水果,D在复习功课。
C.A在上网,B在画画。
D.A在复习功课、D在画画。
80.政府应该不允许烟草公司在其营业收入中扣除广告费用。因为如果这样的话,烟草公司将会缴纳更多的税金。他们只好提高自己的产品价格,而产品价格的提高正好可以起到减少烟草购买的作用。以下选项中,作为上述论点前提的是:
A.烟草公司不可能降低其他方面的成本来抵消多缴的税金。
B.如果烟草公司需要付高额的税金,他们将不再继续做广告。
C.政府从烟草公司的应税收入增加所得的收入将用于宣传吸烟的害处。
D.烟草公司由此所增加的税金应该等于价格上涨所增加的盈利。、
81.像“无息贷款”、“重金求子”、“办证”等手段拙劣的街头诈骗广告,即使早已被曝光也仍然屡见不鲜。骗子们宁愿继续使用这些已被大多数人识破的广告内容,也不去研究一些更具欺骗性、隐蔽性的诈骗广告内容,这只能说骗子太愚蠢,太没有“专业精神”了。以下陈述如果为真,最能够反驳上述结论的一项是:
A.骗子肯定不是愚蠢的,愚蠢的人是不能做骗子的。
B.如果一种行骗方式不能骗到任何人,那么骗子肯定不会使用。
C.骗子使用这种拙劣的行骗手段,是因为他们一开始就不打算骗聪明人。
D.骗子行骗时会费尽心思以不引起社会关注。
82.有70个病人,都患难治病R,并服用过同样的常规药物。这些病人被分为人数相等的两组,第一组服用用于治疗R的试验药物K素,第二组服用不含K素的安慰剂10年后的统计显示,两组都有34人死亡。因此,这种药物是无效的。以下选项如果为真,最能削弱上述论证的是:
A.在上述活着的病人中,第二组的比第一组的更年长。
B.在上述死亡病人中,第二组的平均寿命比第一组的小两岁。
C.在上述活着的病人中,第二组的比第一组的病情更严重。
D.在上述死亡病人中,第二组的平均死亡年份比第一组的早两年。
83.汇编作品是指汇编若干作品、作品的片段或者不构成作品的数据或者其他材料,对其内容的选择或者编排体现独创性的作品。根据上述定义,下列不属于汇编作品的是:
A.2013年3月5日的《人民日报》。
B.小张在图书馆期刊阅览室借阅的《小说选刊》。
C.小许因参加电视答题竞赛节目进行突击训练所阅读的《百科全书》。
D.高铁上供乘客取阅的《列车时刻表》。
84.赵、钱、孙、李四人合作完成一项统计工作,工作完成后领导发现其中有一个统计表出现数据错误,遂询问赵、钱、孙、李四人。询问情况如下:赵说:“这个统计表不是我做的。”钱说:“这个部分是李完成的。”孙说:“这个统计表是钱做的.”李说:“钱说的是不对的.’,他们当中只有三人说真话,且该统计表由四人中的一人独立完成,是:
A.赵
B.钱
C.孙
D.李
85.某网络公司服务器被黑客攻击,大量数据信息被窃。经过侦查,警方锁定了三名犯罪嫌疑人:王某、徐某、吴某。经过审讯,查明了以下事实:(1)该网络公司采用特殊的加密方式对服务器进行保护,破解这种加密方式需要掌握某种特定的计算机语言;(2)如果王某作案,那么吴某也参与作案:(3)徐某不熟悉破解加密服务器必须掌握的计算机语言:(4)罪犯就是这三人中的一个或多个。以下结论,正确的是:
A.王某和徐某是罪犯,吴某情况不明。
B.王某是罪犯,徐某和吴某情况不明。
C.吴某是罪犯,王某和徐某情况不明。
D.徐某是罪犯,王某和吴某情况不明。
第四部分 资料分析
统计文字资料:根据下面的文字资料,回答它后面的5道题目。(单项选择题,5题,每题1.0分)
2009年江西省全年自产地表水资源量1133.4亿立方米,比上年减少15.1%。人均拥有水资源量2557立方米,减少17.0%。平均降水量1391.2毫米,减少9.4%。年末25座大型水库蓄水总量68.9亿立方米。全年总用水量238.3亿立方米,增长1.7%。人均用水量为538立方米,增长1.1%。
年末共有县级以上环境监测站107个。对环境空气质量进行监测的11个设区市城区环境空气质量全部达到二级(达标)。南昌市和九江市城市环境空气质量优良天数分别为347天和363天。城镇地表水集中式饮用水源地水质达标率100%。
年末已建有自然保护区172个,其中国家级自然保护区8个;自然保护区总面积达10310平方公里,占全省土地面积6.2%。已批准国家级生态示范区12个,已批准全国环境优美乡镇10个。
初步核算,全年万元生产总值综合能耗0.88吨标准煤,比上年下降4.5%;万元规模以上工业增加值能耗1.67吨标准煤,下降10.1%;万元生产总值电耗622.5千瓦时,下降1.5%。
全年生产安全事故10577起。其中,道路交通事故4262起,工矿商贸事故199起,铁路交通事故88起,水上交通事故7起,火灾事故5889起。全年生产安全事故死亡2025人,比上年6.9%。其中,道路交通事故死亡1664人,下降7.5%;工矿商贸事故277人,增长14.9%;铁路交通事故死亡60人,下降30.2%;水上交通事故死亡9人,下降25.0%;火灾事故死亡23人,与上年持平。
86.2009年末江西省平均每座大型水库蓄水()亿立方米。
A.2.5
B.2.6
C.2.8
D.2.9
87.2008年江西省人均拥有水资源是人均用水量的()倍。
A.5.9
B.5.8
C.5.7
D.5.6
88.江西省土地面积为()平方公里。
A.166290.3
B.166879.4
C.167525.1
D.167914.7
89.2009年江西省全年生产安全事故中()类的事故发生的最多。
A.道路交通
B.工矿商贸
C.火灾
D.铁路交通
90.根据材料,以下说法错误的是()
A.2009年对环境空气质量进行监测的11个设区市域区环境空气质量全部达标
B.2009年万元生产总值电耗622.5千瓦时,比上年下降1.5%
C.2009年末省内国家级自然保护区8个,总面积达10310.0平方公里
D.2009年全年生产安全事故死亡人数中,道路交通事故死亡人数所占比重最大
91-95.下面的统计图,回答它后面的5道题目。(单项选择题,5题,每题1.0分)

91.2000年至2004年中,科学支出首次超过300亿元的是()
A.2001
B.2002
C.2003
D.2004
92.2001年我国财政用于科学研究的总支出比2000年增长了()
A.137.6亿元
B.约26.4%
C.约26.9%
D.约22.2%
93.2001年至2004年中,科研基建费和前一年相比,增长率最大的是()
A.2001
B.2002
C.2003
D.2004
94.2004年科技三项费用在总支出的比重和2000年相比()
A.增加了约12.3个百分点
B.增加了约4.9个百分点
C.减少了约6.8个百分点
D.减少了约8.8个百分点
95.下列说法正确的是()
A.2004年,其他科研事业费所占比重是22.4%
B.2004年与2003年相比,科研基建费的增长率低于科学研究总费用的增长率
C.2000年至2004年科技三项费用占总支出的比重一直在下降
D.2001年至2004年,我国用于科学支出的财政累计超过1100亿
96-100下面的统计表,回答它后面的5道题目。(单项选择题,5题,每题1.0分)
2006-2010年深圳市企业登记情况表(单位:户)

96.2006-2010年,深圳市三大产业中,企业数逐年增加的产业有()人。
A.0
B.1
C.2
D.3
97.2007-2010年,深圳市企业登记总数增长率最高的是()
A.2007
B.2008
C.2009
D.2010
98.2008-2010年,深圳市外资企业登记数年平均增长率约为()
A.3.08%
B.3.16%
C.3.45%
D.3.84%
99.2006-2010年,注册资本100万以上企业中,注册资本为100-999万元的企业所占比例最高的一项是()
A.2006
B.2008
C.2009
D.2010年
100.根据上述统计表,以下说法不正确的是()
A.私营企业在企业总数中所占比例逐年上升。
B.2006-2010年,注册资本1亿元以上企业平均每年增加115户
C.2008年,三大产业企业登记数均呈负增长
D.2009年,注册资本100万元以上企业登记数增长率为11.80%,增速比上年提高1.72%
参考答案
第一部分
常识判断
1.正确答案是D,《深圳市行政机关专业技术类公务员管理办法(试行)》第二条:本法所称专业技术类公务员,是指在深圳市行政机关中从事专业技术工作,履行专业技术职责,为机关实施公共管理提供专业技术支持和技术手段保障的非领导职务公务员。因此,本题选择D选项
2、正确答案是D,十八大报告第六节“扎实推进社会主义文化强国建设”第二小节末尾句:深化群众性精神文明创建活动,广泛开展志愿服务,推动学雷锋活动、学习宣传道德模范常态化。因此,本题选择D选项。
3.正确答案是C,2012年12月4日,首都各界齐聚人民大会堂,隆重纪念《中华人民共和国宪法》公布施行30周年,习近平总书记在报告中指出:宪法与国家前途、人民命运息息相关。维护宪法权威,就是维护党和人民共同意志的权威。捍卫宪法尊严,就是捍卫党和人民共同意志的尊严。保证宪法实施,就是保证人民根本利益的实现。只要我们切实尊重和有效实施宪法,人民当家作主就有保证,党和国家事业就能顺利发展。因此,本题选择C选项
4.正确答案是A,调查报告的结构包括标题、导语、正文、结语。因此,本题选择A选项
5.正确答案是C,2013年3月26-27日,金砖国家领导人第五次会晤在南非德班举行,习近平参会,这是金砖国家峰会首次在非洲举行,也是南非自2010年加入金砖国家以来首次主办金砖国家峰会。因此,本题选择C项。
6.正确答案是C,商品市场、资本市场、劳动力市场是市场体系的最基本内容,是市场体系的三大支柱。商品市场在市场体系中处于基础地位,其他市场从某种意义上说是为商品市场服务的;资本市场在市场体系中占有极其重要的地位,因为在现代市场经济中货币是所有资源的一般代表形式;劳动力市场则是劳动力资源的交易和分配场所。因此,本题选择C选项。
7.正确答案是D,《公务员法》第十九条:公务员的职务应当对应相应的级别。公务员职务与级别的对应关系,由国务院规定。因此,本题选择D选项。
8.正确答案是B,“看山恰似走来迎”、“船行”说的是绝对运动;“仔细看山山不动”,说的是相对静止。所以,这一诗句反映了绝对运动和相对静止的对立统一关系。因此,本题选择B选项。
9.正确答案是A,2013年1月17日,中央政治局委员、新任广东省委书记胡春华在广东省委十一届二次全会上提出了“忧患广东”、“平安广东”、“法治广东”、“清廉广东”等“十个广东”,描绘了广东发展的蓝图,其中摆在第一位的是“忧患广东”。因此,本题选择A选项
10.正确答案是B,2013年3月5日,第十二届全国人民代表大会第一次会议在北京开幕,国务院总理温家宝作政府工作报告时指出:过去五年,我国清洁能源、节能环保、新一代信息技术、生物医药、高端装备制造等一批战略性新兴产业快速发展。产品质量整体水平不断提高。服务业增加值占国内生产总值比重提高2.7个百分点,成为吸纳就业最多的产业。因此,本题选择B选项。
11.正确答案是D,A选项:“理论联系实际”是对马克思主义普遍真理同革命和建设的具体实践相结合原则的概括表述,是马克思主义最基本的原则之一,其基本精神是达到主观和客观、理论和实践、知和行的具体的历史的统一。B选项:“在实践中检验和发展真理”,这是检验真理的唯一标准。C选项:“从群众中来,到群众中去”,是做群众工作的方法,是群众路线的内容之一。D选项:“实事求是的首要要求”是一切从实际出发。因此,本题选择D选项。
12.正确答案是D,计划生育属于政府的社会职能。社会职能是指除政治、经济、文化职能以外的政府必须承担的其他职能。这类事务一般具有社会公共性,无法完全由市场解决,应当由政府从全社会的角度加以引导、调节和管理。目前,政府的社会职能主要有:①调节社会分配和组织社会保障的职能;②保护生态环境和自然资源的职能;③促进社会化服务体系建立的职能;④提高人口质量,实行计划生育的职能。因此,本题选择D选项
13.正确答案是D,深圳全境地势东南高,西北低。东南部主要为低山;中部和西北部主要为丘陵,也有500米以上的低山突起,山间有较大片冲击平原;西南部的沙井、福永、西乡等地主要为较大片的滨海冲击平原,平原占陆地面积的22.1%。因此,本题选择D选项
14.正确答案是D,《深圳经济特区文明行为促进条例》第四十四条违法行为人因违法的不文明行为受到罚款处罚的,可以申请参加有关行政执法部门安排的社会服务。参加前款规定的社会服务时间可以折抵罚款,但最高不得超过所处罚款金额的一半。参加社会服务应当由违法行为人本人完成,他人代替或者有其他弄虚作假行为的,有关行政执法部门应当恢复执行原罚款决定,并将弄虚作假行为作为个人信用信息告知征信机构。因此,本题选择D选项。
15.2013年2月20日,温家宝主持召开国务院常务会议,研究部署继续做好房地产市场调控工作。会议确定了五项加强房地产市场调控的政策措施(称为“国五条”):(1)完善稳定房价工作责任制,(2)坚决抑制投机投资性购房,(3)增加普通商品住房及用地供应,(四)加快保障性安居工程规划建设,(5)加强市场监管。因此,本题选择B选项
16.正确答案是C,《深圳市行政机关聘任制公务员管理办法(试行)》第二十四条:用人机关应当在市政府公务员主管部门同意聘任后60日内,根据公开招聘或选聘计划与聘任制公务员按照平等自愿的原则,订立聘任合同,确定双方的权利和义务。因此,本题选择C选项
17.正确答案是B,党的思想路线又叫做党的认识路线。党的思想路线是一切从实际出发、理论联系实际、实事求是、在实践中检验真理和发展真理,核心是实事求是,其理论基础是马克思主义认识论。因此,本题选择B选项
18.正确答案是D,ABD三项出自2013年3月温加宝总理作的《政府工作报告》,C选项出自2012年的《能源白皮书》。D选项错误,正确说法是:出口总额跃居世界第二位,其中出口额跃居世界第一位,进口额居世界第二位。因此,本题选择D选项
19.正确答案是B,2012年底,习近平总书记考察广东,对广东提出“三个定位、两个率先”,即要求广东努力成为发展中国特色社会主义的排头兵、深化改革开放的先行地、探索科学发展的实验区,为率先全面建成小康社会、率先基本实现社会主义现代化而奋斗。其中没有B项。因此,本题选择B选项
20.正确答案是A,行政行为以受法律规范拘束的程度为标准,可分为羁束行政行为与自由裁量行政行为。羁束行政行为是指法律明确规定了行政行为的范围、条件、程度、方法等,行政机关没有自由选择的余地,只能严格依照法律作出的行政行为。自由裁量行政行为,是
第二部分
言语理解与表达
21.正确答案是B,第一空,“差池”侧重于强调意外,而“差错”侧重于强调错误;此处强调精神不集中就会出现错误,没有“意外”的意思,故填入“差错”更为恰当。第二空,“沿用”指继续使用过去的方法、制度、法令等;《辞海》和《现代汉语词典》只收录了“沿用”一词。因此,本题答案为B选项
22.正确答案是A,“协约”指国家间协商订立的条约,应置于第一空。“协商”指共同商量以便取得一致意见,为动词词性,应置于第二空。“协议”指经过谈判、协商而制定的共同承认、共同遵守的文件,或泛指双方经协商取得的一致意见;“达成协议”为固定搭配;故应置于第三空。因此,本题答案为A选项
23.正确答案是D,第一空,“居然”和“竟然”都是副词,都表示出乎意料,二者的区别在于:“居然”后面往往跟着的是一个令作者或说话者不希望得到或发生的结果,前面往往会有一个主观的正面意识或者客观的常识,而后面则是与之相反的结果;“竟然”的范围就要大很多,后面可以是主观意愿的反面,也可以是主观意愿的正面,当然也可以与主观意愿无关。此处没有前后相反的意思,故填入“竟然”更为恰当。第二空,“不只”为连词,相当于“不但”、“不仅”;“不止”为动词,意为“不停止”或“超出某个数量或范围”。此处语境为“超出一元”的意思,应用“不止”。第三空,“只管”表示不必考虑别的,放心大胆做或只顾的意思;“尽管”相当于“虽说”,通常与表转折的关联词搭配使用。文段中没有转折关系,应用“只管”。因此,本题答案为D选项
24.正确答案是D,第一空,“转折”指事物在发展过程中改变原来的方向、形势等;“周折”意为波折,曲折,指不顺利;“做实验”自始至终都是一件事情,不存在改变方向,形势,且“几经周折”搭配恰当,也符合语境。故应填入“周折”。第二空,“启运”指开始运输;“启程”意为起程,出发;此处与“梦想的船”搭配,应用“启程”。第三空,“欣羡”意为非常羡慕;置于此处符合语境。因此,本题答案为D选项。
25.正确答案是D,先看第三空,“发源地”指河流开始流出的地方或指事物发端﹑起源的所在;“发祥地”指帝王祖先兴起的地方,后指民族、文化等的发源地;此处与“中华民族文化”搭配,应用“发祥地”,故排除A、C项。第一空,“起用”意为重新任用已退职或免职的官员或提拔使用,它的涉及主要对象是“人”,置于此处符合语境。第二空,“运筹帷幄”常指在后方决定作战方案,也泛指主持大计,考虑决策,常用于军事、政治等。填入此处与后文的“雄霸一方”对应。因此,本题答案为D选项
26.正确答案是A,第一空,填入的成语与后文的“唯知饮食”为并列结构,共同与前文的“无用”对应,“饭囊衣架”比喻无用之人,填入此处符合语境。第二空,“非分之想”比喻妄想得到本分以外的好处,此处“不作非分之想”与后文的“不取不义之财”为并列结构。第三空,“孤高自许”指孤僻清高,自命不凡;与“态度傲慢”、“目中无人”对应。因此,本题答案为A选项。
27.正确答案是C,第一空,“理想”是对未来事物的美好想像和希望;“目标”指想要达到的境界或目的;“追求目标”搭配恰当。第二空,“气息”指呼吸时进出的气,指特征或显著的优点,显然不能用来形容“天空”,“气象”用通俗的话来说,它是指发生在天空中的风、云、雨、雪、霜、露、虹、晕、闪电、打雷等一切大气的物理现象,符合语境。第三空,“流露”指意思、感情等不由自主地表现出来;“表露”意为显露、显现出来;此处强调唱歌是愉快的感情的自然流露。因此,本题答案为C选项
28.正确答案是B,第一空,“屏除”意为使(某人或物)摆脱或去掉,如“屏除陈规旧习”;“摒除”意为排除;此处语境强调“人民被排除在外”,应用“摒除”。第二空,“具体”与前文的“落实”对应。第三空,“迈向……境界”搭配恰当。因此,本题答案为B选项
29.正确答案是B,第一空,“协作”指互相配合,共同完成任务;“协调”指和谐一致,配合得当;此处用来搭配“政府部门”,强调的是共同工作,而不仅仅是和谐一致,因此用“协作”更为恰当。第二空,描写政府对经济的作用,应用“引导”。第三空,“启动”意为开始、发动,与后文的”改革“搭配恰当。因此,本题答案为B选项
30.正确答案是B,第一空,“体例”是指著作的编写格式或文章的组织形式,包括标题、断限、序言、评议、注解、目录、凡例、索引等项内容;“体裁”指艺术作品的种类和样式;文段讨论的是“小说的范围”,与之对应的应为“体裁”,排除C、D项。第二空,“题材”指已经经过提炼、加工,并被使用在文学或艺术作品中的材料;“素材”指还没有经过提炼、加工,准备加以选择、概括、提炼并使用在文学或艺术作品中的材料;此处与“选择”搭配,应用“素材”。因此,本题答案为B选项
31.正确答案是D,D项句子前后主语不一致,且“位列前三”词语使用不当,应改为“中国社科院等发布的《中国城市智慧低碳发展报告》显示,深圳……位列第三”。因此,本题答案为D选项
32.正确答案是A,A项句子中,“调匀”为均匀地调和之意,为动词词性,不能用来修饰后面的动词“簇成”。因此,本题答案为A选项
33.正确答案是B,B项中,“差强人意”形容尚能令人满意,在此处与语境不符。可改为“勉为其难”。因此,本题答案为B选项
34.正确答案是D,D项句子没有语病,句意明确。因此,本题答案为D选项。A项句子成分搭配不当,应改为“从政策上作了详细规定,从理论上作了深刻说明”。B项句子为两面对一面搭配不当,前面是“有没有”,后面是“是……的关键”,应改为“远大的抱负和顽强的意志,是一个人取得成功的关键”。C项句子成分残缺,应为“表达了……的决心”。
35.正确答案是D,D项句子没有语病,句意明确。因此,本题答案为D选项。
A项句子中,“引起信心指数下降”搭配不当,应将“引起”改为“导致”。B项句子中,“整整两个小时”与“两个小时左右”矛盾。C项句子中,应将“前”字去掉,改为“反映的是政府进行行政审批改革后部分事项办理情况的有效改善”
36.正确答案是B,A项句式杂糅,应改为“对于……来说一点也不陌生”。C项句子中搭配不当,“生产线员工”不属于“公司部门”。D项句子语序不当,应改为“绿色出行不仅可以节约能源,而且还能促进身心健康”。只有B项没有语病,故本题正确答案为B选项
37.正确答案是C,C项句子没有语病,句意明确。因此,本题答案为C选项
A项句子缺少主语,应改为“由于1米90的身高,他顺利获得了进入学校篮球队的资格”。B项句子缺少宾语,应改为“举行‘舞动全城欢呼奥运’的活动”。D项关联词搭配不当,应将“不管”改为“尽管”,与后文的“但”搭配使用表示转折关系
38.正确答案是B,比较1、2、4句,2句提到了此次出行的目的地:天平山,故应置于段首,排除A、C项。因为路途较远,所以“我们”吃了早饭便出发,1句应紧接2句。4、5、3介绍的都是路上的景象,排在2、1之后。因此,本题答案为B选项
39.正确答案是A,1句和6句相比,6句是对大环境大背景的陈述,即6句为整个文段的背景铺垫,且1句里面的“人们对变化的向往之情”与6句的“变的时代”以及“从社会到个人”语义衔接。即1句在6句之后。4句以转折词“而”开头,观察句意,4句的“厌恶之感”与1句的“向往之情”构成转折关系,即,开头前三句为614,将253带入验证2、3、5三个问句对前面描述的现象加以深度思考,2、5两句通过关联词“抑或”连接,体现了“彻底革除”和“一成不变”两种相反情况,3句是对2、5的总结,因此这三句之间顺序是253,本题选A
40.正确答案是D,首先比较1、5两句,1句里用到“再”、“又”等词,是补充类描述,不做段首,故排除A、B项。再观察各句可知,4句中有表结论的关联词“所以”,而1句是其原因,故1应放在4之前。3句中的指示代词“这”指代前文所有的内容。因此,本题答案为D选项。
41.正确答案是A,根据“我们的生活中,充满了大大小小的挫折和失败……每当这些时刻来临我们都会体验到悲伤、痛苦、甚至绝望”可知,A项表述正确。因此,本题答案为A选项
42.正确答案是B,根据“正是多亏了这些学校,美国的早期技工才普遍能读会写,并精通算术,掌握一定的几何和三角知识”、“美国人的适应能力和创造能力得益于这种教育”、“由于有了学校彻底训练过的头脑,美国孩子迅速地成为技术熟练的工人”等句可知,早期美国技工的适应能力和创造能力得益于学校教育。只有B项与此相关。因此,本题答案为B选项
43.正确答案是D,根据“过去鱼类被看作单调乏味、脑袋只有豌豆大的笨蛋,只会受‘本能’驱使,仅有的一点儿行动灵活性也被它那臭名昭著的‘三秒钟记性’严重阻碍了”可知,A项表述正确。根据“现在,鱼被认为充满着社会智商,运用马基雅维利式的策略,诸如操纵、惩罚和顺从,表现出固有的文化传统”可知,B项表述正确。根据“有必要进一步了解鱼类刚被认可的行为和社交复杂性的进化过程”可知,C项表述正确。D项中“智商很低”表述错误。因此,本题答案为D选项
44.正确答案是C,根据“澳大利亚墨尔本的一个研究小组在一只实验鼠体内植入一个有血管的特制空腔,然而把从其他实验鼠身上提取的干细胞加入这个空腔内。一段时间后,这些干细胞长成不同类型的组织,其中包括跳动的心脏组织”可知,A项表述正确。根据“澳大利亚研究人员在实验鼠体内用干细胞成功培养出活动的心脏组织”可知,B项表述正确。根据“如果器官和组织是用患者自己的干细胞制造的,移植后就不会出现排异反应”可知,D项表述正确。C项表述错误,原文只说“该小组已成功培养了乳房组织、肌肉、能产生胰岛素的胰腺组织等”,没有说是“人的”,属于偷换概念。因此,本题答案为C选项
45.正确答案是D,“但让人着迷有时也就使人盲目”这句话之前先介绍了人类痴迷修建大型水坝并解释了其原因,然后通过转折引出后文,即人们往往忽略了,“大坝往往不如预期那样发挥功效”。可见这句转折暗示的是,人们对于修建大坝的迷恋使人们丧失了本该具有的判断能力。“丧失判断”是对“盲目”的同义替换,因此,本题答案为D选项
46.正确答案是B,根据“但在其中发现和研究类地星体,还需要技术上的重大突破”可知,A项表述正确。根据文章第二自然段可知,C项表述正确。根据“目前,科学家们已在太阳系以外探测到120多颗行星”可知,D项表述正确。B项原文没有提及,为无中生有项。因此,本题答案为B选项
47.正确答案是C,根据“近日英国研究衰老的专家说,身心适度紧张有助于身体健康,可以延年益寿”、“他称紧张疗法是抗衰老的一种新途径”可知,A项表述正确。根据“当人们从事一项紧张活动时……细胞本身的修补机制便被激活,制造用来修补损失的蛋白”可知,B项表述正确。根据第四自然段可知,D项表述正确。C项中“紧张刺激越多越强越好”与原文不符,原文说“必须是适度的紧张才对身体有益”。因此,本题答案为C选项
48.正确答案是A,文章第一段主要介绍“试验发现,普通的感冒病毒可以杀死癌细胞”。第二段主要介绍目前,这一试验结果取得了可喜的成果。A项概括最为全面准确。因此,本题答案为A选项
49.正确答案是B,这段文字通过英国报纸举办的一项有奖征答活动,力图告诉读者一种解决问题的思路。重点在于小男孩的答案,他把在环保专家、核专家、粮食专家三者中选一个舍弃的复杂问题,转化为根据体重,最胖的下去的简单问题。这是复杂问题简单化的典范。因此,本题答案为B选项。
50.正确答案是D,文段为总——分结构,首句介绍“要证明一个事物的可能,有两条途径”,后文将这两种途径分别作了具体阐述,即“确实存在”和“逻辑存在”。D项概括全面准确。因此,本题答案为D选项。
第三部分 数量关系
51.正确答案是D,原数列两两做差得:45,50,(55)为公差是5的等差数列,所以选项=131+55=186。因此,本题答案选择D选项。
52.正确答案是B,奇数项:67,55,43,()为公差-12的等差数列,所以选项=43+(-12)=31,偶数项:49,37,25,也为公差为-12的等差数列,因此,本题答案选择B选项。
53正确答案是B,横排和竖排都成规律;横排数字,1和2、3和4之间都是相差2;竖排数字,1和2,3和4之间都是相差3;所以数字分别是18、18、17。因此,本题答案选择B选项。
54.正确答案是C,观察数列,可发现:中心数字=左上角×右下角-(左下角+右上角),所以选项=3×6-(2+7)=9。因此,本题答案选择C选项。
55.C,原数列两次两两做差得0,2,8,26,(),再两两做差得:2,6,18,(54),为公比是3的等比数列,所以原数列=26+54+47=127。因此,本题答案选择C选项。
56.B,根据题意,甲、乙、丙没有检查过的分别为20、30、40家,这些没有检查过的没有重复,则三人都检查过的最少,所以100-20-30-40=10。答案选B。因此,本题答案选择B选项。
57.C,本题用代入排除法。A选项17的平方为289,不全是偶数,排除A选项;B选项20的平方为400,存在0不符题意,排除B选项;C选项22的平方为484,符合题意。D选项34的平方超过1000,是四位数,不符题意,排除C选项。因此,本题答案选择C选项。
58.正确答案是C,选取底边中点及半圆形的中点,图中阴影面积=正方形面积+半圆形面面积-三角形面积-梯形面积=
。因此,本题答案选择C选项。
59.正确答案是A,设方阵每行有N人,减少一行和一列,减少319人,可得2N-1=319,N=160;根据方阵的最外围人数公式:最外层人数=4(N-1),所以4N-4=640-4=636。因此,本题答案选择A选项。
60.A,三角形AEC经过7秒后变为三角形ADE;三角形AEC的面积=数列首项=a1=
;则两者的公差d=(a8-a1)/7=7。因此,本题答案选择A选项。
61.正确答案是B,甲金属在水里减轻
的重量,则甲为11的倍数,同理乙为9的倍数,所以,甲=110、乙=90,代入验证符合条件,所以相差110-90=20克。因此,本题答案选择B选项。
62.正确答案是B,设五个自然数为a<b<c<d<e,则可以得到
,(2a+b+2c+d+2e)=114,则a+c<b+d<c+e,所以b+d的大小一定介于22和36之间,b+d=114-2(a+c+e),b+d一定是偶数,所以b+d=28,所以a+e=17+39-28=28。因此,本题答案选择B选项。
63.正确答案是A,设速度为v,又因为,他上班的在途时间只需原来时间的
,所以赋值原来的时间为5,则加速后的时间为4,S=5v=4(v+3),可得v=12,S=60;减速后的速度为12-3=9,时间为60/9,则
。因此,本题答案选择A选项。
64.正确答案是A,合成的是边长8厘米的正方体,被刷上两个面以上的肯定是正方体棱上的,但是每条棱上的2个顶点都是连的三个面,所以每条棱上刷两面的8-2=6;正方体共有12条棱,则刷两面的共有12×6=72。因此,本题答案选择A选项。
65.A,设B溶液浓度为a,则A溶液浓度为5a;混合后溶液为15%,(50×5a+250a)/(50+250)=15%,解得a=9%,则A的浓度5a=45%。因此,本题答案选择A选项。
第三部分 图形推理
66.A,考查元素的转换。1个三角形=1个小黑圆,1个正方形=2个小黑圆,第一组图包含的小黑圆的个数为2、4、6,第二组图包含的小黑圆的个数为3、5、7,正确答案为A.
67.A,第一组图中的三个图形都包含月亮形的图形,第二组图的前两个图形也包含有月亮形的图形,所以正确答案为A。
68.D,题干中的所有图形都关于横轴对称,正确答案为D。
69.A,题干中的所有图形都只有一个封闭空间。正确答案为A。
70D,前一个图形中的大图形变成后一个图形中的小图形,而且小图形都位于大图形的右侧。正确答案为D
71.正确答案是B,观察五个事件,说的是要实现可持续发展的方法,故(5)为首句,排除C和D。(2)和(4)是恰好是(1)的解释,所以(2)和(4)应该在(1)之后。正确答案为B。
72.C,观察选项,首句是(2)或(5),比较这两句,应该是先研究行业发展趋势之后才研发出新型产品,(5)作首句比较合适,排除A和B。比较(1)和(4),应该先攻克难题,再将其应用到系列产品上,故(1)在(4)之前。正确答案为C。
73B,观察选项,首句在(1)和(4)中,先有化工厂排放污水,河水化学需氧量浓度才会超标,(4)作首句,排除C和D。化工厂排放污水引发的直接结果是河水化学需氧量浓度超标,接着才会有鱼虾死亡、引起重视、整改等动作。正确答案为B。
74.正确答案是A,出自北宋词人苏轼的《水调歌头》;(2)出自初唐诗人王勃的《滕王阁序》;(3)出自南宋军事家岳飞的《满江红》;(4)出自盛唐诗人李白的《将进酒》;(5)出自元代作家马致远的《天净沙·秋思》。按照作者所在朝代的先后顺序,正确的顺序为2—4—1—3—5。正确答案为A。
75.D,均田制发生在北魏时代,(2)班超出使西域发生在东汉时期,(3)巨鹿之战发生在秦末时期,(4)蔡伦改进造纸术发生在东汉时期,(5)两税法实行发生在唐朝。按照时间先后顺序,应该是3—2—4—1—5。正确答案为D。
76.正确答案是B,本题的论点是证明动物预报地震确实是由于空气中的电荷,那么这种电荷要跟动物的反应联系起来,B选项连接论点与论据,起到了搭桥的作用。
77.正确答案是D,题目的关键词在于“被继承人的死亡子女的晚辈直系血亲”,D选项符合,为答案。
78.正确答案是C,C项强调广告总量支出是常量,意味着世界杯不会增加广告费,因此,不会增加消费者负担,同时,世界杯的广告收入能降低票价。
79.正确答案是A,根据题干信息A、B、C都不洗水果,则D洗水果;A、C、D都不复习功课,则B项复习功课;再由(3)可以推出A上网;剩下的C在画画。故答案是A选项。
80.正确答案是A,题干中的推论是:烟草公司通过提高产品的价格来抵消因不扣除广告费用而多缴的税金。要想使推论成立,需要添加的前提是烟草公司没有别的办法来抵消多缴的税金,A项是必需的前提。否则,如果烟草公司还有其他方式来抵消多缴的税金,那么就不会被迫用提高产品价格的方法。正确答案为A。
81.B,B项指出骗子用这样的方法还是能够骗到人的,可以说明他们并不愚蠢。正确答案为B。
82.正确答案是D,题目中的论证是:服用K素和不服用K素的两组病人死亡人数相同,因此这种药物是无效的。B项和D项,一个是说平均寿命,一个是说平均死亡年份,如果D项为真,说明药物是有效的,能缓解病情,延长生命时间,而平均寿命可能跟生病前的情况相关。故正确答案为D。
83.正确答案是D,汇编作品的关键词是:编排出的作品体现独创性,A、B、C三项都具有独创性,D项的列车时刻表不能体现独创性,故正确答案为D。
84.正确答案是B,四个人中只有一个人说的是假话,而钱说的话和李说的话必有一真一假,所以,赵和孙的话都是真话,这个统计表是钱做的。正确答案为B。
85.正确答案是C,根据条件(3)可知,徐某不可能单独作案,所以王某和吴某两人中至少有一人作案,假设吴某不是罪犯,根据条件(2)可知,王某也不是罪犯,不符合题意,所以吴某肯定是罪犯,王某和徐某的情况不能确定。正确答案为C。
第四部分 资料分析
86.年末25座大型水库蓄水总量68.9亿立方米,所以平均每座大型水库蓄水=68.9/25=2.756。因此,本题答案为C选项。
87.正确答案是B,根据2009年人均拥有水资源量2557立方米,减少17.0%。人均用水量为538立方米,增长1.1%。本题答案为B选项。
88.正确答案是A,根据自然保护区总面积达10310平方公里,占全省土地面积6.2%,所以江西省土地面积为10310/6.2%=166290.3,因此,本题答案为A选项。
89.C根据道路交通事故4262起,工矿商贸事故199起,铁路交通事故88起,水上交通事故7起,火灾事故5889起,火灾最多,因此,本题答案为C选项。
90.正确答案是D,A选项:根据材料:对环境空气质量进行监测的11个设区市城区环境空气质量全部达到二级(达标),所以A选项正确;
B选项:根据材料:万元生产总值电耗622.5千瓦时,下降1.5%,所以B正确。
C选项:年末已建有自然保护区172个,其中国家级自然保护区8个,所以C选项正确;
D选项:全年生产安全事故10577起。其中,道路交通事故4262起,工矿商贸事故199起,铁路交通事故88起,水上交通事故7起,火灾事故5889起,明显火灾事故次数最多,所以火灾所占比重最大。所以D选项错。因此,本题答案为D选项。
91.正确答案是C,由材料得出,2003年科学支出是300.8亿元。因此,本题答案为C选项。
92.正确答案是D,2000年的总量=277.2+189+61.5+47.9=575.6;2011年的总量=359.6+223.1+63.4+57.2=703.3万元,所以增长了:(703.3-575.6)/575.6≈700/580,直除两位为22,因此,本题答案为D选项。
93.正确答案是C,增长率=现期量/基期量-1,即比较63.4/61.5=1.03;70/63.4=1.10;111.1/70.4=1.58;169.2/111.1=1.52,所以最多的为2003年,因此,本题答案为C选项。
94.正确答案是C,2004年总支出=484+335.9+169.2+179.5=1168.6,所以2004年科技三项费用在总支出的比重和2000年相比相差=277.2/575.6-484/1168.6=0.48-0.41=0.07,即7个百分点。因此,本题答案为C选项。
95.正确答案是D,A选项:179.5/1168.6≈180/1170≈15%,所以A选项错误;B选项:科研基建费增长率=(169.2-111.2)/111.1≈58/110≈52%;2003科学研究总费用=416.6+300.8+111.1+147.1=976,增长率=(1168-976)/976=19.6%,所以B选项错误。C选项:2000年科技三项费用比重=277.2/575.6=48.2%,2001年比重=223.1/703.3=31.7%;2002年比重=269.9/(398.6+269.9+70+77.8)=32.7%;所以2001年到2002年比重上升,所以C选项错误。D选项,科学支出=189+223.1+269.9+300.8+335.9=1316,超过1100,所以D选项正确。因此,本题答案为D选项。
96.正确答案是A,根据材料,三大产业在2008年都呈现减的情况,所以逐年增加的为0,因此,本题答案为A选项。
97.正确答案是D,增长率=(现期量-基期量)/基期量=现期量/基期量-1,比较增长率的大小,只需要比较末期量/基期量的大小即可,所以2007年的增长率=283734/244291≈284000/24400≈1.16;2008年趋势下降,为减少率,所以B选项排除;2009年增长率=307242/281238≈310000/280000≈1.11;2010年增长率=360912/307242≈3610000/307000≈1.18,因此,本题答案为D选项。
98.正确答案是C,根据平均增长率公式:末期量=基期量×(1+平均增长率)n所以,32898(1+平均增长率)2=35207,解得平均增长率=0.034=3.4%,因此,本题答案为C选项。
99.正确答案是D,2006年所占比例=56046/(56046+13070+1979+1602)≈56046/72697≈56000/72700=77%
2008年所占比例=72196/(72196+15218+2197+1802)≈/72196/91413≈72200/91400≈79%
2009年所占比例=81519/(81519+16459+2314+1910)≈81519/102202≈81500/102200=79.4%
2010年所占比例=93338/(93338+18155+2438+2060)≈93338/115991≈93300/116000≈80.4%,所以2010年比例最大。因此,本题答案为D选项。
100.D,A选项:2006年所占比例=191756/244291≈192000/244/000≈78.7%
2007年所占比例=227063/283734≈227000/284000≈80%
2008年所占比例=229867/281238≈230000/281000≈81.8%
2009年所占比例=257063/307242≈257000/307000≈83.7%
2010年所占比例=309618/360912≈310000/361000≈85.9%
所以A选项正确
B选项:(2060-1602)/4=114.5,所以B选项正确。
C选项比较容易,根据材料,2008年三大产业企业登记数均呈下降趋势,所以C选项正确。
D选项:2009年注册资本100万元以上企业登记数增长率=(81519+16459+2314+1910)/(72196+15218+2197+1802)-1=102202/91413-1=11.8%,2008年增长率=91413/(56046+13070+1979+1602)-1=91413/72697-1=25.7%,所以2009年的增长率比2008年的增长率小,所以2009年的增长率比2008年的增长率是下降了。所以D选项错误。
因此,本题答案为D选项。
以上就是关于2013 年上半年深圳《行测》真题及答案的全部内容,更多事业单位考试信息、考试公告、报名时间、报名入口、报考条件、职位表下载、历年真题、考试科目、考试大纲、成绩查询、历年分数线、准考证打印、面试名单等信息,欢迎访问事业单位考试网

